Advanced pharmaceutical bulletin. 14(4):745-758.
doi: 10.34172/apb.42345
Review Article
Challenges of Serum Creatinine Level in GFR Assessment and Drug Dosing Decisions in Kidney Injury
Xinyi Wang Data curation, Formal analysis, Investigation, Methodology, Resources, Validation, Writing – original draft, 1, # 
Jing Mu Investigation, Methodology, Software, Visualization, Writing – original draft, 1, #
Kexin Ma Formal analysis, Validation, 1
Yanrong Ma Conceptualization, Funding acquisition, Project administration, Supervision, Writing – review & editing, 1, 2, * 
Author information:
1The First School of Clinical Medicine, Lanzhou University, Lanzhou, 730000, China
2Department of Pharmacy, the First Hospital of Lanzhou University, Lanzhou 730000, China
#These authors are contributed equally to this work.
Abstract
Serum creatinine (SCr) is widely regarded as a standard biomarker for assessing glomerular filtration rate (GFR) and is commonly used to guide dose adjustments for renally eliminated drugs. However, the application of SCr as a marker for evaluating GFR and drug dosing in kidney injury has significant limitations that are often overlooked in clinical practice. This oversight can result in subtherapeutic drug concentrations or adverse drug reactions due to inappropriate dosing adjustments based on SCr levels alone. This review aimed to highlight the factors affecting serum creatinine (SCr) and the challenges associated with using SCr as a biomarker for assessing GFR and adjusting drug doses with regard to its limitations and variability. The findings of this review underscore the complexity of SCr regulation, which is affected by its synthesis, metabolism, and excretion processes (glomerular filtration, tubular secretion, tubular reabsorption and extra-renal elimination), and disease states (such as trauma-induced hyperfiltration and HIV) and the use of medications (drug-creatinine interactions) lead to altered renal excretion of creatinine, either increasing or decreasing its levels. Additionally, the renal excretion pathways for drugs and creatinine are not entirely the same, making it difficult to use creatinine to evaluate drug renal excretion. In conclusion, SCr is an imperfect index of GFR and adjusting drug dosing, and the development of multi-biomarker panels, incorporating biomarkers from different excretory pathways-particularly those involving tubular transport-holds promise for improving the evaluation of renal excretory function and ensuring safer and more effective drug dosing.
Keywords: Creatinine, GFR, Drug dosing adjustment, Biomarker, Kidney injury
Copyright and License Information
©2024 The Author (s).
This is an Open Access article distributed under the terms of the Creative Commons Attribution (CC BY), which permits unrestricted use, distribution, and reproduction in any medium, as long as the original authors and source are cited. No permission is required from the authors or the publishers.
Funding Statement
This work was supported by National Natural Science Foundation of China (Grant No. 82160705).
Introduction
The kidney plays a crucial role in facilitating the excretion of numerous drugs and their metabolites from the body. The dysregulation or decompensation of kidney function may directly affect the pharmacokinetics, pharmacodynamics or toxicity of drugs. Glomerular filtration rate (GFR) represents the overall filtration rate of the functioning nephrons, and is therefore considered the optimal method for measuring overall kidney function and making disease diagnosis decisions1
Creatinine-based estimation of GFR has served as the primary approach for assessing kidney function and adjusting drug dosages.2 In 1847, Liebig discovered heating creatine with mineral acids formed a new substance, which he named creatinine. In 1886, Jaffe observed a creatinine reaction with picric acid in an alkaline medium, and this method, known as the Jaffe reaction, was used for measuring creatinine in clinical laboratories until the early 21st century.3 Due to the fact that creatinine precursors are synthesized by the liver, creatinine was considered a product of nitrogen metabolism at the time of Jaffe’s discovery. In 1926, Rehberg demonstrated that creatinine was eliminated into the urine via glomerular filtration and was neither secreted nor reabsorbed, thus proposing creatinine as a biomarker of GFR.4
Although measuring the renal clearance rate of exogenous biomarkers such as inulin, 99mTc-diethylenetriamine pentaacetic acid, 125I-othalamate and 51Cr-EDTA is more accurate (with inulin being the gold standard), these measures are not routinely performed in clinical practice due to cumbersome and invasive operation. Instead, adjusting the dosage of drugs mainly excreted by the kidneys commonly relies on the levels of endogenous filtration markers such as serum creatinine (SCr) to measure GFR.5,6 In clinical administration, elevated SCr is often of great concern as drug eligibility and dosage depend on estimates of GFR. However, the correlation between an increase in SCr and a decrease in GFR is not absolute, thus failling to reflect deteriorating renal function or decreased drug excretion. For example, most patients with a GFR of about 40 mL/min appear to have normal CLCr (creatinine clearance).7 Besides, the SCr level may still be within the normal range on the first day of severe renal failure, and the measured GFR may not decrease significantly until 7-10 days.8 Furthermore, some drugs can reversibly increase SCr levels without affecting GFR.9 Therefore, it is recognized that SCr is an imperfect biomarker for evaluating GFR or adjusting drug dosage, which can be attributed to changes in creatinine biosynthesis, metabolism, renal tubular transport and drug interactions in most clinical settings.
This review aims at systematizing the current knowledge on the factors that affect SCr levels in vivo and identifying the challenges of using creatinine as a biomarker for kidney function and measuring drug dosing adjustment.
Factors affecting SCr level
Creatinine biosynthesis
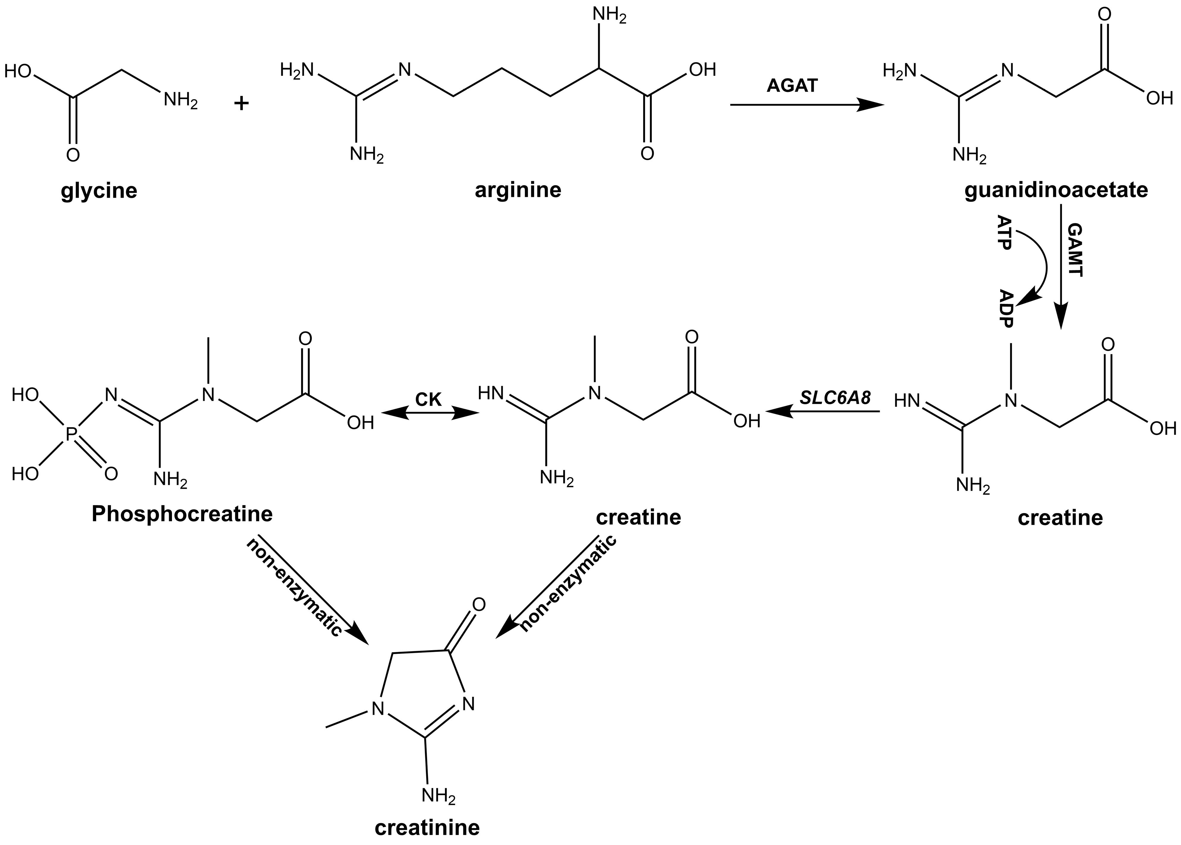
Creatinine is mainly produced in skeletal muscles from the non-enzymatic dehydration and cyclization of creatine and phosphocreatine, and creatine is a nitrogenous organic acid produced by the liver, kidneys and pancreas,10 of which 75% is phosphorylated to produce phosphocreatine by creatine kinase (CK), while the remainder is present in its free form.10,11 The serum creatine level in adults is about 1.6-7.9 mg/L.12 A 70-kg man contains 120 g creatine, and roughly 1.7% of the total creatine pool (1.1% creatine/day and 2.6% phosphorylcreatine/day) is nonenzymatically converted to creatinine daily.13,14
As illustrated in Figure 1, the biosynthesis of endogenous creatinine is a multi-step process. The first step is to synthesize guanidine acetate in kidney catalyzed by L-arginine-glycine amidinotransferase (AGAT), mainly in the mitochondrial membrane space and less in cytoplasm. In the second step, guanidinoacetate methyltransferase (GAMT) facilitates the transfer of a methyl group from S-adenosylmethionine, producing creatine and S-adenosylhomocysteine in the liver. The third step is creatine transport via Na+-Cl--dependent creatine transporter (SLC6A8), followed by CK-mediated creatine phosphorylation to form phosphocreatine. The final step is to form creatinine through non-enzymatic dehydration/cyclization of creatine, which can freely diffuse out of the cell and ultimately be removed in urine.
Figure 1.
Creatinine biosynthesis. ADP, adenosine 5'-diphosphate; AGAT, L-arginine-glycine amidinotransferase; ATP, adenosine 5'-triphosphate; CK, creatine kinase; GAMT, guanidinoacetate methyltransferase; SLC6A8, solute carrier family 6 member 8
Figure 1.
Creatinine biosynthesis. ADP, adenosine 5'-diphosphate; AGAT, L-arginine-glycine amidinotransferase; ATP, adenosine 5'-triphosphate; CK, creatine kinase; GAMT, guanidinoacetate methyltransferase; SLC6A8, solute carrier family 6 member 8
Endogenous creatine synthesis is complicated due to the lack of specific enzymes required by most tissues, making dynamic interactions between metabolic enzymes and transportation between different tissues necessary.
AGAT, the rate-limiting enzyme and de novo synthesis-initiating step, is predominantly expressed in the kidney. Despite the presence of significant amounts of AGAT in the livers of pigs, monkeys, and humans, it is widely acknowledged that the majority of guanidinoacetate synthesis predominantly occurs in the kidney.15,16 Creatine and L-ornithine exert negative pre-translational feedback on AGAT expression in the kidney.17 However, creatinine and phosphocreatine are both ineffective. AGAT expression may be under the control of hormonal factors, including estrogens, testosterone, thyroid hormones and growth hormone.13,17,18 In rats that have undergone thyroidectomy or hypophysectomy, AGAT activity in the kidney is reduced, but it can be restored by administering thyroxine or growth hormone, respectively. AGAT levels in rat kidneys are downregulated by estrogens and diethylstilbestrol, while upregulated by testosterone. Additionally, AGAT levels in kidneys, livers and other tissues are decreased in some situations, such as fasting, vitamin E deficiency and streptozotocin-induced diabetes.19-21
GAMT, the second enzyme in creatine synthesis, is most strongly expressed in the liver, testis, caput epididymis and ovaries. As a whole, creatine synthesized by the liver is sufficient to meet the requirements for creatine in the entire body.22 Although the GAMT level in female liver is higher than that in males, estradiol, testosterone, cortisol, thyroxine and growth hormone have little effect on GAMT activity in rat liver.23,24 In contrast to the suppression of AGAT expression by creatine in the kidney, the expression of GAMT in the liver is not under the control of creatine or ornithine. The influencing factors and regulation of GATM are still unclear.
Creatine transporter (SLC6A8) predominantly mediates the uptake of creatine rather than creatinine to skeletal muscle, brain, kidney and heart,25 and its expression and/or activity is regulated by diet, hormonal factors, guanidinoacetate and extracellular creatine concentration, with negative regulation by high creatine levels occurring more rapidly than the positive control mediated by creatine deficiency.17,26 Dietary creatine supplementation depresses the expression of the creatine transporter in rats.27 Importantly, dietary creatine supplementation results in a 3 to 20-fold increase in serum creatine concentration, but only a 10%-20% increase in muscle creatine.17 This result is attributed to the low permeability of creatine in muscles. Consistently, the creatine transporter expression is downregulated by extracellular creatine of > 0.1 μM (with IC50 ≈ 20-30 μM). More than 5 mM guanidinoacetate or guanidinopropionate also decreases creatine transport, but D-/L-ornithine, creatinine and phosphocreatine have no effect.28 Conversely, creatine transporter activity is inhibited by isoproterenol, norepinephrine, clenbuterol and N6,2′-O-dibutyryladenosine 3′,5′-cyclic monophosphate in vitro, which can be related to the regulation of intracellular cyclic adenosine monophosphate levels.29 In addition, the uptake of creatine is inhibited by the Na+-K+-ATPase inhibitors ouabain and digoxin. Insulin and insulin-like growth factor increase the activity of Na+-K+-ATPase, ultimately resulting in increased uptake of creatine.30-32
CK is a central controller of cellular energy homeostasis, predominately located in skeletal muscles, myocardium and brain, and reversibly catalyzes the metabolism of creatine by utilizing ATP to generate phosphocreatine and ADP. Most tissues express two CK isoenzymes, dimeric cytosolic and octameric mitochondrial CK. Cytosolic CK consists of two subunits, B (brain type) or M (muscle type), which yields three isoenzymes: CK-MM, CK-BB and CK-MB.33-35 In addition to three cytosolic CK isoforms, there are two mitochondrial CK isoenzymes, the ubiquitous and sarcomeric forms.33 The presence of cytosolic and mitochondrial CK plays multiple roles in cellular energy homeostasis.36-38 In the healthy subject, total CK is mainly composed of the MM isoform, but depends on age, gender race, muscle mass as well as disease state (Supplementary Table S1).39
Creatinine metabolism
Creatinine is excreted exclusively through a combination of glomerular filtration and tubular secretion, with minimal binding to plasma proteins and negligible metabolism in healthy individuals. In severe renal insufficiency, up to 68% of generated creatinine may be metabolized or excreted via extrarenal routes.40-42 However, extrarenal elimination has not been observed in patients with mild to moderate renal insufficiency.12
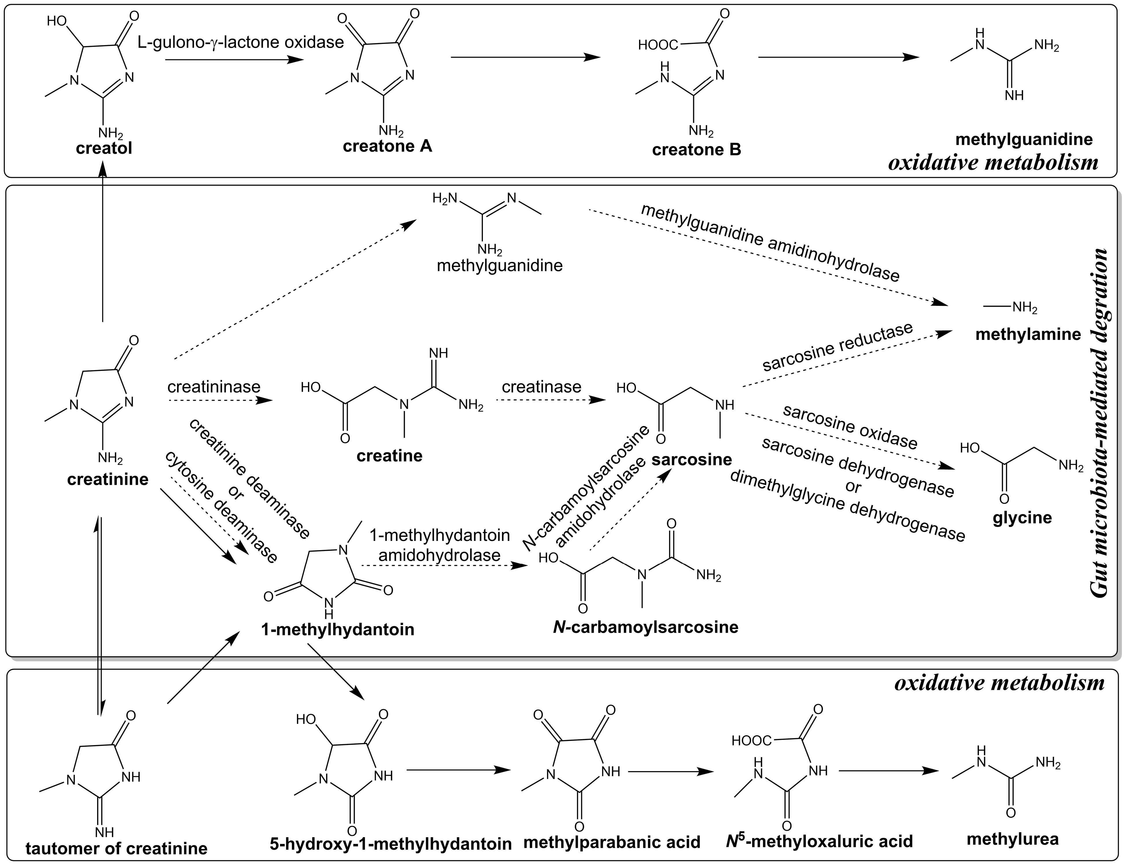
Gut microbiota-mediated degradation and oxidative metabolism may facilitate the catabolism of creatinine (Figure 2).17,43 There may be two pathways of microbial-mediated degradation of creatinine: (1) Creatinine can be broken down into 1-methylhydantoin and ammonia through the action of creatinine deaminase and cytosine deaminase in various bacteria and fungi, and 1-methylhydantoin is further broken down into N-carbamoylsarcosine and sarcosine by 1-methylhydantoin amidohydrolase and N-carbamoylsarcosine amidohydrolase, respectively.44,45 In this pathway, 1-methylhydantoin amidohydrolase is a rate-limiting enzyme, and consequently, N-carbamoylsarcosine is in much lower concentration than other intermediary metabolites and even undetectable.45 (2) Creatinine is hydrolyzed to creatine which is partly reabsorbed or degraded by bacteria, and the production of creatine by creatininase is then degraded by creatinase to urea and sarcosine.17,45 Sarcosine is further converted to glycine by sarcosine oxidase or sarcosine dehydrogenase, and in the end to methylamine by sarcosine reductase. In addition, only a few studies have addressed the conversion of creatinine to methylguanidine, which can be further decomposed to methylamine via methylguanidine amidinohydrolase.17,46,47
Figure 2.
Creatinine metabolism
Figure 2.
Creatinine metabolism
Two oxidative pathways of creatinine catabolism have been demonstrated: (1) Creatinine is metabolized to methylguanidine and the intermediate creatol, creatone A, or creatone B.48,49 However, it is unclear whether these steps of the pathway are enzyme-catalyzed reactions.47,48,50,51 ROS may selectively stimulate the formation of methylguanidine from creatinine.52,53 (2) Creatinine also can be converted to 1-methylhydantoin, which is further degraded to 5-hydroxy-1-methylhydantoin, methylparabanic acid, N5-methyloxaluric acid as well as the end product methylurea.54,55 As shown in Figure 2, the formation of 1-methylhydantoin from creatinine may depend on bacterial degradation rather than non-enzymatic metabolism.17 In patients with chronic renal failure (CRF) or uremia, the formation of creatinine degradation products is increased and may further deteriorate kidney function.56,57
Transport and excretion of creatinine
The vectorial transport of cationic compounds, along with some anionic and zwitterionic compounds, is regulated by the organic cation transporter 2 (OCT2) located on the basolateral membrane and the multidrug and toxin extrusion proteins (MATE1 and MATE2-K) on the apical membrane. Many anionic drugs are transported by the uptake organic anion transporter 1 (OAT1), OAT2 and OAT3 on the basolateral membrane, as well as the efflux transporters multidrug resistance-associated protein (MRP) 2 and MRP4 on the apical membrane.58 Other transporters, such as organic anion transporting polypeptide 4C1 (OATP4C1), P-glycoprotein (P-gp), novel organic cation transporters (OCTN1 and OCTN2) and breast cancer resistance protein (BCRP), may also be involved in mediating the renal secretion of some compounds.1
Renal tubular transporter-mediated uptake of creatinine via OCT2, OCT3, OAT1, OAT2, and OAT3 has been found in both in vivo and in vitro studies.59-61 Creatinine is a low affinity substrate for OCT2, with in vitro Km values of 1.9 ± 0.4,62 4.0 ± 0.3 mM61 or 56.4 ± 3.4 mM.63 However, both Km values are significantly higher than the physiological (about 45-85 μM for male and 30-60 μM for female) and even the pathophysiological concentrations of creatinine in humans. Therefore, the function of hOCT2 is not saturated under physiological conditions. Single-nucleotide polymorphisms of OCT2 (rs2504954) have been associated with the SCr levels.64 The creatinine uptake mediated by OCT3 is similar to 62,64 or lower than that by OCT2,61,63 but the expression of renal OCT3 is extremely low in vivo. It is worth noting that in hyperuricemia rats, the plasma concentration of creatinine significantly increased, while its renal clearance decreased, and the renal clearance ratio of creatinine to inulin dropped from 1.62 to 1.09.65 Considering that the data were corrected for inulin clearance, this observation could be explained by a decrease in tubular secretion of OCT2 and/or MATE1 transporters, rather than a decrease of GFR.
OAT1 and OAT3 are responsible for the uptake of many anionic compounds. Although the fact that creatinine at physiological pH is a foundation, the uptake of creatinine by mOAT1 (Km = 6.7 mM) and mOAT3 (Km > 10 mM) were observed in vitro and in vivo.59,66 However, several studies have demonstrated that creatinine is not a substrate for OAT1, aligning with findings that creatinine uptake is mediated by OAT3 rather than OAT1 or OAT2,60-62,64 but the contribution of OAT3 to creatinine clearance is significantly lower compared to that of OCT2.63 On the contrary, Ciarimboli et al found that creatinine was not transported by mOAT3 in cell lines transfected with mOAT3.60,64
OAT2 is found in both the basolateral and apical membranes of human renal proximal tubules, whereas in rats, it is localized only in the apical membrane,67 and its mRNA level is 3-fold higher than that of OCT2.68 OAT2 has many substrates that are the same as OAT1 and OAT3. Creatinine is the substrate of OAT2 and has high affinity (Km values of 0.80-0.99 mM),62,67 and the transport efficiency for OAT2 is approximately 37-1850 times that of OCT2, MATE1 and MATE2-K.67
MATE1 and MATE2-K are responsible for the efflux of creatinine from renal tubular cells.62,67,69 Kinetic analyses demonstrated that creatinine has a low affinity for MATE1 and MATE2K, with Km values of > 10 and > 20 mM, respectively.67,70 It is unclear whether MRP2, MRP4, P-gp and BCRP mediate renal tubular clearance of creatinine.
It has been proven that creatinine can be reabsorbed in renal tubules (5%-10%), but its mechanism remains unclear.63,67 Researchers speculated that creatinine reabsorption could be mediated by OAT267 or OAT4,63 which could also be a passive process during low urine flow.71
There is still controversy surrounding renal tubular transporters mediated creatinine elimination.
Our study demonstrated that the uptake of d3-creatinine was significantly enhanced in OCT2-overexpressing cells compared to control cells, but not MATE1, MATE2-K, OAT1, OAT2, OAT3, MRP4, OATP4C1, P-gp, PEPT2 and URAT1.72
Interactions between creatinine and drugs
Early studies suggested that creatinine was mainly passively filtered at the glomerulus with little secretion or reabsorption in renal tubules, and impaired kidney function resulted in a reduction of CLCr accompanied by an elevation of SCr. However, several drugs have been reported to affect creatinine secretion in renal tubules, thereby causing a transient non-pathologic increase in SCr without altering GFR. These changes can be attributed to the reversible inhibition of transporters responsible for the tubular secretion of creatinine.73 It is thus an important issue to understand how an increase in SCr results from pathologic injury or reversibly inhibited secretion.
To distinguish that an increase of SCr is due to inhibition of renal tubular transporters rather than pathological changes, Chu et al carried out a retrospective analysis of the effect of inhibition of renal tubular OCT2, MATE1 and MATE2-K on SCr levels based on in vivo-vitro correlations74 using a cutoff value of Cmax/IC50 > 0.1 and Cmax,u/IC50 > 0.1.9 The US Food and Drug Administration and the International Transporter Consortium recommend a cutoff value of Cmax/IC50 > 0.1 and Cmax,u/IC50 > 0.1 to evaluate the potential risk of drug-drug interactions (Table 1). They found that cimetidine,75-78 cobicistat,62,79 dolutegravir,80,81 dronedarone,82 7-[(3R)-3-(1-aminocyclopropyl) pyrrolidin-1-yl]-1-[(1R,2S)-2-fluorocyclopropyl]-8-methoxy-4-oxoquinoline-3-carboxylic acid (DX-619),83 pyrimethamine,84,85 rilpivirine,86-88 ranolazine,89 ritonavir,79,90 salicylate,91 telaprevir,92-94 and trimethoprim95-98 reversibly increased SCr levels by ≥ 10% without affecting GFR, and amiodarone99 and vandetanib100 reversibly increased SCr levels by > 10% but changes in GFR were not observed. In the phase 1 study, INCB039110,101,102 an inhibitor of the Janus kinases (JAKs) with selectivity for JAK1, reversibly increased SCr but did not affect GFR.101 However, both Cmax/IC50 and Cmax,u/IC50 resulted in a false-negative prediction for telaprevir. In addition, ranitidine had a Cmax,u/IC50 higher than 0.1 for OCT2, MATE1 and MATE2-K, but had no effect on SCr or CLCr..60
Table 1.
Effect of compounds on SCr, CLCr and GFR in humans
|
Compounds
|
Dose regimen
|
Increase of SCr (%)
|
Decrease of CLCr
(%)
|
GFR
|
Cmax
(µM)
|
fu
|
Inhibited transporters#
|
| Amiodarone |
400-200 mg or
400-400 mg, p.o., qid, 1 y |
11 |
/ |
/ |
0.8–2.3 |
0.04 |
OCT2, MATE1, MATE2-K, P-gp |
| Cimetidine |
400 mg, p.o, bid, 7 d
400 mg, p.o., qid, 3 wk
400-200-200-200 mg, p.o.
400-400-400-800 mg, p.o. |
13.5
25.8
38.2
22.2 |
18.2
14.8, 37.5
35.5
20.3 |
NS
NS
NS
NS |
9.36
/
/
18.7 |
0.80 |
OCT2, OAT2, OAT3, MATE1, MATE2-K |
| Cobicistat |
150 mg, p.o., qd, 7 d |
10.5 |
8 |
NS |
2.21 |
0.08 |
OCT2, OAT2, MATE1, MATE2-K |
| Dolutegravir |
50 mg, p.o., qd, 14 d
50 mg, p.o., bid, 14 d |
9.1
16.7 |
10
14 |
NS
NS |
6.75
13.11 |
0.01 |
OCT2, MATE1, MATE2-K |
| Dronedarone |
400 mg, p.o., bid, 7 d |
10-15 |
13.8 |
NS |
0.30 |
0.02 |
OCT2, MATE1, P-gp |
| DX-619 |
800 mg, i.v., qd, 4 d |
32.3 |
27 |
NS |
22.04 |
0.29-0.35 |
OCT2, MATE1, MATE2-K |
| Famotidine |
10 mg, i.v., SD
20 mg, p.o., bid, 7 d
200 mg, p.o., SD |
NS
NS
/ |
NS
NS
SI |
NS
/
/ |
About 1.3
0.39
/ |
0.8 |
OCT1, OCT2, OCT3, MATE1, MATE2-K |
| INCB039110 |
600 mg, p.o., bid, 8 d |
SI |
/ |
NS |
3 |
/ |
OCT2, OAT2, MATE1, MATE2-K |
| Pyrimethamine |
50 mg, p.o., SD
100 mg, p.o., SD |
SI
18.5 |
16.5, 20.0
/ |
NS
NS |
2.29
4.6 |
0.13 |
OCT2, MATE1, MATE2-K |
| Ranolazine |
1000 mg, p.o., bid, 5 d |
12.4 |
11 (NS) |
NS |
4.87 |
0.37 |
OCT2, MATE1, MATE2-K |
| Rilpivirine |
25 mg, p.o., qd, 48 wk |
small increase |
/ |
NS |
0.58 |
0.003 |
OCT2, MATE1, MATE2-K |
| Ritonavir |
100 mg, p.o., qd, 7 d |
NS |
NS or 25 |
NS |
2.16 |
0.015 |
OCT2, MATE1, MATE2-K, P-gp, OAT2, OATPs |
| Salicylate |
4 g/d, p.o., 10 d |
38.4 |
24.7 |
NS |
/ |
/ |
OAT1 |
| Telaprevir |
750 mg, p.o., tid, 12 wk |
SI |
/ |
NS |
5.82 |
0.04-0.24 |
P-gp, but not OCT2 and MATE1/2-K |
| Trimethoprim |
5 mg/kg, p.o., bid, 10 d
5 mg/kg, p.o., qid, 10 d
100 mg, p.o., bid, 10 d
200 mg, p.o., bid, 14 d |
22.2
31.3
14.8
18.4 |
21.3
16.0
/
21.8 |
/
/
NS
NS |
17.5
29.6
/
9.92 |
0.58 |
OCT2, MATE1, MATE2-K |
| Vandetanib |
300 mg, p.o., qd, SD |
SI |
/ |
/ |
0.25-0.27 |
0.10 |
OCT2, MATE1, MATE2-K |
/, data are not reported or available; bid, twice daily; Cmax, maximum plasma concentration; CLCr, creatinine clearance; d, day; DX-619, 7-[(3R)-3-(1-aminocyclopropyl)pyrrolidin-1-yl]-1-[(1R,2S)-2-fluorocyclopropyl]-8-methoxy-4-oxoquinoline-3-carboxylic acid; fu, plasma unbound fraction; GFR, glomerular filtration rate; INCB039110, (2-(3-(4-(7H-pyrrolo[2,3-day]pyrimidin-4-yl)-1H-pyrazol-1-yl)-1-(1-(3-fluoro-2-(trifluoromethyl)isonicotinoyl)piperidin- 4-yl)azetidin-3-yl)acetonitrile); i.v., intravenous; MATE, multidrug and toxin extrusion protein; NS, no significance; OAT, organic anion transporter; OATPs, organic anion transporting polypeptides; OCT2, Organic cation transporter 2; P-gp, P-glycoprotein; p.o., oral; qd, once daily, qid, four times daily; SCr, serum creatinine; SI, significantly increased compared with baseline level; tid, three times daily;
# Data from http://transportal.compbio.ucsf.edu.
Eisner et al demonstrated that para-aminohippuric acid, a classical substrate of OAT1, induced a decrease in creatinine secretion and increased SCr levels.59 Notably, tubular handling of creatinine could be dependent on serum albumin levels.103 Collectively, the increase of SCr or decrease of CLCr can be attributed to the inhibition of creatinine secretion mediated by one or more renal tubular transporters. However, inhibition of renal tubular transporters does not necessarily lead to elevated SCr.
Challenges of creatinine as a biomarker for renal function and drug dosing adjustment
There is indeed a relationship between GFR and CLCr in young adults without renal diseases.8 However, SCr is an imperfect biomarker for estimating GFR and its levels can be influenced by various factors mentioned above. Firstly, as fractional secretion varies inversely with GFR, SCr levels cannot be changed by renal tubular hypersecretion of creatinine with the deterioration of glomerular function.7 Secondly, some drugs act by competitively inhibiting the transport of creatinine in renal tubules as a result of SCr elevation without changing GFR. Thirdly, a substantial fraction of creatinine is metabolized rather than excreted with a sharply decreased GFR. Fourthly, the rise in SCr following a reduction in GFR is delayed due to kinetic changes in creatinine production and accumulation. For example, the serum half-life of creatinine is approximately 4 h at a normal GFR of 120 mL/min/1.73 m2 but extends to 16 hours at a GFR of 30 mL/min/1.73 m2.9 Fifthly, SCr is also affected by other factors, including weight, gender, age, muscle metabolism as well as intake or use of protein supplements. Notably, glomerular hyperfiltration occurring as a consequence of underlying disease is often ignored because of no change or mild decrease in SCr.104-107 Therefore, appropriate increases in drug dosing would rarely be carried out, which would lead to subtherapeutic concentrations of drugs108 (Figure 3).
Figure 3.
Influencing factors of SCr in evaluating GFR. GFR, glomerular filtration rate; SCr, serum creatinine
Figure 3.
Influencing factors of SCr in evaluating GFR. GFR, glomerular filtration rate; SCr, serum creatinine
Variations in creatine pool size can substantially impact creatinine production. Total muscle mass is a critical factor in determining creatine pool size, and conditions such as aging,109 dietary protein deficiency, progressive muscular dystrophy,110 chronic glucocorticoid therapy,111 sepsis,112 hyperthyroidism and poliomyelitis,113 can decrease the production of creatinine. The size of the creatine pool is diminished during a creatine-free period or dietary protein deficiency, but the rate of conversion of creatine to creatinine remains unaffected.114,115 Although creatinine levels in meat (0.2-0.4 mg creatinine and 3.5-5 mg creatine per gram of uncooked lean beef) are very low, meat is also a major source of creatinine as a consequence of high conversion ratio from creatine to creatinine (18%-65%).12,116,117 Consequently, the excretion of creatinine decreases by 10-30% when reducing dietary meat content. Moreover, a slight change in the turnover ratio of creatine will have a significant impact on creatinine production because of the relatively large pool size of the creatine. Fitch and Sinton found that the turnover ratio of creatine increased to 2.2%-3.8% per day in some patients with muscular dystrophy.118
Tubular secretion of creatinine was identified in an early study investigating the clearance of exogenously administered creatinine.119 The exogenous creatinine excretion was decreased in a high plasma creatinine state produced by infusion of creatinine, which could be related to the competitive inhibition of renal tubular secretion of creatinine.119 As discussed above, some compounds can increase SCr by up to 40% without altering GFR.83,91 During severe renal insufficiency the elimination of creatinine via glomerular filtration decreases and tubular secretion is increased by as much as 60%.7,120 Thus, the contribution of active secretion of creatinine in renal tubules could result in an overestimation of GFR.
Creatinine is eliminated solely by the kidney in healthy people. Extrarenal creatinine elimination occurs only in patients with severe renal insufficiency. This mechanism is thought to result from the degradation of creatinine in the intestinal lumen by gut microbiota. The increased level of creatinine caused by renal dysfunction induces bacterial creatininase activity, resulting in degradation and loss of creatinine,42,121 and creatinine degradation can be abolished by antibiotics.121 Consequently, the GFR could be overestimated by CLCr as a result of extrarenal elimination.
Creatinine synthesis, metabolism and elimination are altered in certain disease states, which could lead to inaccurate assessment in GFR by using SCr clearance. Aging is linked to changes in renal structure and function, with GFR decreasing by approximately 8-10 mL/min/1.73 m2 per decade after the age of 30.122,123 Consistently, renal clearance of creatinine is also decreased with aging. However, this fall in CLCr with the progressive decrease in GFR is commonly accompanied by a decrease in creatinine production, and consequently, SCr may not be affected.124
GFR in early pregnancy increases by 50% compared to that of later pregnancy levels.125 However, the ratio of creatinine to inulin clearance is slightly above 1.0 (normal ranges from 1.1 to 1.4) in the first and early second trimester, and is approximate or slightly lower than that in later pregnancy, suggesting that tubular secretion of creatinine is attenuated during pregnancy, especially in the latter half. As a result of the decrease in CLCr in pregnancy, a SCr concentration above 8 mg/L is an abnormal result.126
Acute kidney injury (AKI) leads to a rapid decrease in GFR. Although GFR is effectively equal to zero at the early stage of AKI, SCr may be only slightly above baseline. Conversely, SCr continues to increase at the early stage of recovery from AKI.127 In patients with CRF, because of increased tubular secretion of creatinine, the creatinine/inulin clearance ratio is as high as 2.5 at a lower GFR.120 Of note, tubular clearance of creatinine is significantly enhanced at GFR from 40 to 80 mL/min/1.73 m2.7 Even if the GFR is reduced to 15 mL/min/1.73 m2, SCr changed by only 2.0 mg/L, but these changes could not be considered significant.12 In addition, reduced creatinine production and increased extrarenal metabolism are also observed in CRF.40,114 Thus, the rate of decline in SCr may not accurately reflect the rate of decline in GFR in some instances of physiological and pathological changes, which can result in incorrect drug dosages.
Diabetes mellitus is often associated with a deterioration in kidney function.128 Some studies found that GFR increased by 27% and 16% in recently diagnosed patients with T1DM107,129 and T2DM,130 respectively. Generally, GFR in untreated diabetes is higher than that in short-term insulin-treated diabetes.131 Consistently, CLCr is increased in early diabetes. During diabetic ketoacidosis and diabetic coma, GFR decreases and SCr increases. However, the decline in GFR is not associated with a parallel increase in SCr. McCance and Widdowson found three of four patients with diabetic coma had the creatinine/inulin clearance ratio less than 1 (0.42-0.85),132 suggesting that creatinine could also undergo the reabsorption in renal tubules. In diabetic nephropathy, SCr levels remain within the normal range despite the GFR is as low as 36 mL/min/1.73 m2,133 which could be attributed to enhanced secretion of creatinine in renal tubules. Consequently, changes in SCr do not reliably predict variations in GFR.
Summary and Perspective
A reliable assessment of renal function is essential for evaluating renal disease stage and progression, determining the need for dialysis therapy, screening kidney donors and adjusting drug dosages. GFR is generally accepted as the best overall measure of kidney function. Over 70 equations based on SCr levels have been developed to estimate GFR. Among these, the Cockcroft-Gault formula and the Modification of Diet in Renal Disease (MDRD) formula are the most extensively studied and widely applied.2,134,135 Over the years, the importance of SCr determination in diagnosing renal disease and monitoring disease progression cannot be overemphasized. However, a large number of researchers have pointed out that there is no absolute correlation between GFR and SCr.136-139 The relationship between SCr and measured GFR is not linear but curvilinear, and a given value of SCr can be associated with a wide range of measured GFR values (30-90 mL/min/1.73 m2),137 which can cause difficulty in distinguishing between a normal GFR and an abnormal one.140 The estimated GFR by SCr is insensitive at a GFR above 60 ml/min/1.73 m2, creating a “creatinine-blind range”,138,141 and thus the measurement of SCr is limited as a diagnostic marker for the early stages of renal injury.142 As a result, SCr as a marker for adjusting drug dosages may not achieve satisfactory therapeutic objectives,143 which can be attributed to failure to recognize the variations in non-GFR determinants including generation, tubular secretion or reabsorption and extra-renal elimination of creatinine. To accurately predict kidney function via SCr levels, the factors affecting creatinine synthesis, metabolism and elimination would need to be fully considered in clinical settings. Under creatinine intake control, simultaneous monitoring of plasma levels of creatinine and its precursors, guanidinoacetate and creatine, can indirectly reflect creatinine synthesis. Although it is difficult to evaluate creatinine metabolism mediated by gut microbiota in vivo, renal or extra-renal elimination of creatinine can be determined via ECT/PET imaging using radioactively labeled creatinine. In view of the unclear mechanism of renal tubular transport of creatinine, it is particularly important to elucidate the renal tubular transporters that mediate elimination of creatinine.
Some researchers have argued that serum cystatin C is a better biomarker for estimating GFR than SCr.144,145 However, serum concentration of cystatin C can be affected by inflammation and changes in protein catabolism,146,147 and the biological variation in cystatin C levels is far higher than that in creatinine.138 One study published in the New England Journal of Medicine demonstrated that the estimated GFR by serum cystatin C was not more accurate than SCr, and the combination of SCr and serum cystatin C was more precise than equations using either marker individually for estimating GFR.148 In addition, some investigators suggested that cystatin C at higher levels of GFR might be a better filtration marker than creatinine.149,150 Thus, to some extent, the use of cystatin C can avoid the risk associated with the “creatinine-blind range”, and estimating GFR by the combination of serum cystatin C and SCr may be a better choice.
Kidney tubular secretion is another important renal functional parameter and 61% of all drugs are eliminated through tubular secretion mediated by transporters rather than through glomerular filtration.146 Thus, a strategy of drug dosing adjustment should be based on the actual mechanism of kidney drug elimination, not just on the GFR. Importantly, renal tubules are vulnerable to a variety of injuries.151 Based on these reasons, the development of markers for renal tubular transporters will be of great use in the early diagnosis of renal injury and adjustment of drug dosages. In recent years, growing research has focused on identifying potential biomarkers for renal tubular transporters, with several endogenous compounds being recognized as biomarker of these transporters. Thiamine and N-methylnicotinamide are potential substrates for the cation transport system (OCT2-MATE1/2-K) in renal tubules.69,152-154 Hippurate and taurine, cyclic guanosine monophosphate, and 6β-hydroxycortisol and glycochenodeoxycholate sulfate have been proposed as endogenous probes for the evaluation of OAT1, OAT2 and OAT3 function, respectively.155-157 In addition, some tubular proteins, neutrophil gelatinase-associated lipocalin, kidney injury molecule-1 and N-acetyl-β-D-glucosaminidase have all emerged as early and sensitive markers for renal tubular injury.158 Unfortunately, these markers are not currently used to adjust drug dosages clinically. Therefore, the evaluation system of renal excretion pathways of drugs based on multiple biomarkers should be established.
Renal elimination of endogenous and exogenous compounds is affected by many factors, including renal blood flow, GFR, and renal tubular excretion and reabsorption, and monitoring these changes will be conducive to evaluating renal excretory function. When creatinine is used as a marker for GFR and drug dosing adjustment, changes in its synthesis, metabolism and excretion and other influencing factors need to be fully considered (Figure 4).
Figure 4.
Kidney function evaluation and drug dosing adjustment from the perspective of SCr and new approaches. ECT, emission computed tomography; GFR, glomerular filtration rate; LC-MS, liquid chromatography-tandem mass spectrometry, MATE, multidrug and toxin extrusion protein; OAT, organic anion transporter; OATP4C1, organic anion transporting polypeptide 4C1; OCT2, Organic cation transporter 2; P-gp, P-glycoprotein; PET-CT, positron-emission tomography computed tomography
Figure 4.
Kidney function evaluation and drug dosing adjustment from the perspective of SCr and new approaches. ECT, emission computed tomography; GFR, glomerular filtration rate; LC-MS, liquid chromatography-tandem mass spectrometry, MATE, multidrug and toxin extrusion protein; OAT, organic anion transporter; OATP4C1, organic anion transporting polypeptide 4C1; OCT2, Organic cation transporter 2; P-gp, P-glycoprotein; PET-CT, positron-emission tomography computed tomography
Conclusion
SCr as a biomarker for evaluating GFR and adjusting the dosage of drugs is imperfect, which is particularly reflected in low correlation, insensitivity and high variation of non-GFR determinants. This could be related to changes in the generation, tubular secretion or reabsorption, and extra-renal elimination of creatinine. However, there is a lack of latest research evidence about the biosynthesis, metabolism and extra-renal elimination of creatinine. Therefore, in order to better evaluate renal function and adjust drug dosages, studies on the elimination pathways of creatinine in vivo should be necessary, and the combination of multiple markers of renal function should be developed.
Competing Interests
The authors declare no conflict of interest.
Ethical Approval
Not applicable.
Supplementary Files
Table S1. Enzymes and transporters in creatinine biosynthesis
(pdf)
References
- Morrissey KM, Stocker SL, Wittwer MB, Xu L, Giacomini KM. Renal transporters in drug development. Annu Rev PharmacolToxicol 2013; 53:503-29. doi: 10.1146/annurev-pharmtox-011112-140317 [Crossref] [ Google Scholar]
- Stevens LA, Coresh J, Greene T, Levey AS. Assessing kidney function--measured and estimated glomerular filtration rate. N Engl J Med 2006; 354(23):2473-83. doi: 10.1056/NEJMra054415 [Crossref] [ Google Scholar]
- Delanghe JR, Speeckaert MM. Creatinine determination according to Jaffe-what does it stand for?. NDT Plus 2011; 4(2):83-6. doi: 10.1093/ndtplus/sfq211 [Crossref] [ Google Scholar]
- Rehberg PB. Studies on kidney function: the rate of filtration and reabsorption in the human kidney. Biochem J 1926; 20(3):447-60. doi: 10.1042/bj0200447 [Crossref] [ Google Scholar]
- Sunder S, Jayaraman R, Mahapatra HS, Sathi S, Ramanan V, Kanchi P. Estimation of renal function in the intensive care unit: the covert concepts brought to light. J Intensive Care 2014; 2(1):31. doi: 10.1186/2052-0492-2-31 [Crossref] [ Google Scholar]
- Li DY, Yin WJ, Yi YH, Zhang BK, Zhao J, Zhu CN. Development and validation of a more accurate estimating equation for glomerular filtration rate in a Chinese population. Kidney Int 2019; 95(3):636-46. doi: 10.1016/j.kint.2018.10.019 [Crossref] [ Google Scholar]
- Shemesh O, Golbetz H, Kriss JP, Myers BD. Limitations of creatinine as a filtration marker in glomerulopathic patients. Kidney Int 1985; 28(5):830-8. doi: 10.1038/ki.1985.205 [Crossref] [ Google Scholar]
- Spencer K. Analytical reviews in clinical biochemistry: the estimation of creatinine. Ann Clin Biochem 1986; 23(Pt 1):1-25. doi: 10.1177/000456328602300101 [Crossref] [ Google Scholar]
- Chu X, Bleasby K, Chan GH, Nunes I, Evers R. Transporters affecting biochemical test results: creatinine-drug interactions. Clin PharmacolTher 2016; 100(5):437-40. doi: 10.1002/cpt.445 [Crossref] [ Google Scholar]
- Heymsfield SB, Arteaga C, McManus C, Smith J, Moffitt S. Measurement of muscle mass in humans: validity of the 24-hour urinary creatinine method. Am J Clin Nutr 1983; 37(3):478-94. doi: 10.1093/ajcn/37.3.478 [Crossref] [ Google Scholar]
- Ellery SJ, Walker DW, Dickinson H. Creatine for women: a review of the relationship between creatine and the reproductive cycle and female-specific benefits of creatine therapy. Amino Acids 2016; 48(8):1807-17. doi: 10.1007/s00726-016-2199-y [Crossref] [ Google Scholar]
- Perrone RD, Madias NE, Levey AS. Serum creatinine as an index of renal function: new insights into old concepts. Clin Chem 1992; 38(10):1933-53. doi: 10.1093/clinchem/38.10.1933 [Crossref] [ Google Scholar]
- Walker JB. Creatine: biosynthesis, regulation, and function. Adv EnzymolRelat Areas Mol Biol 1979; 50:177-242. doi: 10.1002/9780470122952.ch4 [Crossref] [ Google Scholar]
- Wyss M, Schulze A. Health implications of creatine: can oral creatine supplementation protect against neurological and atherosclerotic disease?. Neuroscience 2002; 112(2):243-60. doi: 10.1016/s0306-4522(02)00088-x [Crossref] [ Google Scholar]
- Goldman R, Moss JX. Creatine synthesis after creatinine loading and after nephrectomy. Proc Soc Exp Biol Med 1960; 105:450-3. doi: 10.3181/00379727-105-26137 [Crossref] [ Google Scholar]
- Edison EE, Brosnan ME, Meyer C, Brosnan JT. Creatine synthesis: production of guanidinoacetate by the rat and human kidney in vivo. Am J Physiol Renal Physiol 2007; 293(6):F1799-804. doi: 10.1152/ajprenal.00356.2007 [Crossref] [ Google Scholar]
- Wyss M, Kaddurah-Daouk R. Creatine and creatinine metabolism. Physiol Rev 2000; 80(3):1107-213. doi: 10.1152/physrev.2000.80.3.1107 [Crossref] [ Google Scholar]
- Van Pilsum JF, McGuire DM, Towle H. On the mechanism of the alterations of rat kidney transamidinase activities by diet and hormones. Adv Exp Med Biol 1982; 153:291-7. doi: 10.1007/978-1-4757-6903-6_35 [Crossref] [ Google Scholar]
- Funahashi M, Kato H, Shiosaka S, Nakagawa H. Formation of arginine and guanidinoacetic acid in the kidney in vivo Their relations with the liver and their regulation. J Biochem 1981; 89(5):1347-56. doi: 10.1093/oxfordjournals.jbchem.a133326 [Crossref] [ Google Scholar]
- Fitch CD, Hsu C, Dinning JS. The mechanism of kidney transamidinase reduction in vitamin E-deficient rabbits. J Biol Chem 1961; 236:490-2. doi: 10.1016/s0021-9258(18)64389-3 [Crossref] [ Google Scholar]
- Kim GS, Chevli KD, Fitch CD. Fasting modulates creatine entry into skeletal muscle in the mouse. Experientia 1983; 39(12):1360-2. doi: 10.1007/bf01990104 [Crossref] [ Google Scholar]
- Xue GP, Snoswell AM, Fishlock RC. Quantitative study on creatine metabolism in sheep tissues. Biochem Int 1988; 16(4):623-8. [ Google Scholar]
- Lee H, Ogawa H, Fujioka M, Gerton GL. Guanidinoacetate methyltransferase in the mouse: extensive expression in Sertoli cells of testis and in microvilli of caput epididymis. Biol Reprod 1994; 50(1):152-62. doi: 10.1095/biolreprod50.1.152 [Crossref] [ Google Scholar]
- Carlson M, Van Pilsum JF. S-adenosylmethionine: guanidinoacetate N-methyltransferase activities in livers from rats with hormonal deficiencies or excesses. Proc Soc Exp Biol Med 1973; 143(4):1256-9. doi: 10.3181/00379727-143-37512 [Crossref] [ Google Scholar]
- Snow RJ, Murphy RM. Creatine and the creatine transporter: a review. Mol Cell Biochem 2001; 224(1-2):169-81. doi: 10.1023/a:1011908606819 [Crossref] [ Google Scholar]
- Joncquel-Chevalier Curt M, Voicu PM, Fontaine M, Dessein AF, Porchet N, Mention-Mulliez K. Creatine biosynthesis and transport in health and disease. Biochimie 2015; 119:146-65. doi: 10.1016/j.biochi.2015.10.022 [Crossref] [ Google Scholar]
- Guerrero-Ontiveros ML, Wallimann T. Creatine supplementation in health and disease Effects of chronic creatine ingestion in vivo: down-regulation of the expression of creatine transporter isoforms in skeletal muscle. Mol Cell Biochem 1998; 184(1-2):427-37. doi: 10.1023/a:1006895414925 [Crossref] [ Google Scholar]
- Loike JD, Zalutsky DL, Kaback E, Miranda AF, Silverstein SC. Extracellular creatine regulates creatine transport in rat and human muscle cells. Proc Natl Acad Sci U S A 1988; 85(3):807-11. doi: 10.1073/pnas.85.3.807 [Crossref] [ Google Scholar]
- Odoom JE, Kemp GJ, Radda GK. The regulation of total creatine content in a myoblast cell line. Mol Cell Biochem 1996; 158(2):179-88. doi: 10.1007/bf00225844 [Crossref] [ Google Scholar]
- Bennett SE, Bevington A, Walls J. Regulation of intracellular creatine in erythrocytes and myoblasts: influence of uraemia and inhibition of Na,K-ATPase. Cell BiochemFunct 1994; 12(2):99-106. doi: 10.1002/cbf.290120204 [Crossref] [ Google Scholar]
- Gonda O, Quastel JH. Effects of ouabain on cerebral metabolism and transport mechanisms in vitro. Biochem J 1962; 84(2):394-406. doi: 10.1042/bj0840394 [Crossref] [ Google Scholar]
- Steenge GR, Lambourne J, Casey A, Macdonald IA, Greenhaff PL. Stimulatory effect of insulin on creatine accumulation in human skeletal muscle. Am J Physiol 1998; 275(6):E974-9. doi: 10.1152/ajpendo.1998.275.6.E974 [Crossref] [ Google Scholar]
- Schlattner U, Forstner M, Eder M, Stachowiak O, Fritz-Wolf K, Wallimann T. Functional aspects of the X-ray structure of mitochondrial creatine kinase: a molecular physiology approach. Mol Cell Biochem 1998; 184(1-2):125-40. doi: 10.1023/a:1006851330913 [Crossref] [ Google Scholar]
- Eppenberger ME, Eppenberger HM, Kaplan NO. Evolution of creatine kinase. Nature 1967; 214(5085):239-41. doi: 10.1038/214239a0 [Crossref] [ Google Scholar]
- Wallimann T, Wyss M, Brdiczka D, Nicolay K, Eppenberger HM. Intracellular compartmentation, structure and function of creatine kinase isoenzymes in tissues with high and fluctuating energy demands: the ‘phosphocreatine circuit’ for cellular energy homeostasis. Biochem J 1992; 281(Pt 1):21-40. doi: 10.1042/bj2810021 [Crossref] [ Google Scholar]
- Dzeja PP, Terzic A. Phosphotransfer networks and cellular energetics. J Exp Biol 2003; 206(Pt 12):2039-47. doi: 10.1242/jeb.00426 [Crossref] [ Google Scholar]
- Saks VA, Ventura-Clapier R, Aliev MK. Metabolic control and metabolic capacity: two aspects of creatine kinase functioning in the cells. BiochimBiophys Acta 1996; 1274(3):81-8. doi: 10.1016/0005-2728(96)00011-4 [Crossref] [ Google Scholar]
- Schlattner U, Tokarska-Schlattner M, Wallimann T. Mitochondrial creatine kinase in human health and disease. BiochimBiophys Acta 2006; 1762(2):164-80. doi: 10.1016/j.bbadis.2005.09.004 [Crossref] [ Google Scholar]
- Brancaccio P, Maffulli N, Limongelli FM. Creatine kinase monitoring in sport medicine. Br Med Bull 2007; 81-82:209-30. doi: 10.1093/bmb/ldm014 [Crossref] [ Google Scholar]
- Mitch WE, Collier VU, Walser M. Creatinine metabolism in chronic renal failure. Clin Sci (Lond) 1980; 58(4):327-35. doi: 10.1042/cs0580327 [Crossref] [ Google Scholar]
- Levey AS, Perrone RD, Madias NE. Serum creatinine and renal function. Annu Rev Med 1988; 39:465-90. doi: 10.1146/annurev.me.39.020188.002341 [Crossref] [ Google Scholar]
- Jones JD, Burnett PC. Creatinine metabolism in humans with decreased renal function: creatinine deficit. Clin Chem 1974; 20(9):1204-12. doi: 10.1093/clinchem/20.9.1204 [Crossref] [ Google Scholar]
- Owens CW, Albuquerque ZP, Tomlinson GM. In vitro metabolism of creatinine, methylamine and amino acids by intestinal contents of normal and uraemic subjects. Gut 1979; 20(7):568-74. doi: 10.1136/gut.20.7.568 [Crossref] [ Google Scholar]
- Kim JM, Shimizu S, Yamada H. Cytosine deaminase that hydrolyzes creatinine to N-methylhydantoin in various cytosine deaminase-forming microorganisms. Arch Microbiol 1987; 147(1):58-63. doi: 10.1007/bf00492905 [Crossref] [ Google Scholar]
- Shimizu S, Kim JM, Shinmen Y, Yamada H. Evaluation of two alternative metabolic pathways for creatinine degradation in microorganisms. Arch Microbiol 1986; 145(4):322-8. doi: 10.1007/bf00470865 [Crossref] [ Google Scholar]
- Nakajima M, Shirokane Y, Mizusawa K. A new amidinohydrolase, methylguanidine amidinohydrolase from Alcaligenes sp N-42. FEBS Lett 1980; 110(1):43-6. doi: 10.1016/0014-5793(80)80018-4 [Crossref] [ Google Scholar]
- Jones JD, Burnett PC. Implication of creatinine and gut flora in the uremic syndrome: induction of “creatininase” in colon contents of the rat by dietary creatinine. Clin Chem 1972; 18(3):280-4. doi: 10.1093/clinchem/18.3.280 [Crossref] [ Google Scholar]
- Fujitsuka N, Yokozawa T, Oura H, Akao T, Kobashi K, Ienaga K. L-gulono-gamma-lactone oxidase is the enzyme responsible for the production of methylguanidine in the rat liver. Nephron 1993; 63(4):445-51. doi: 10.1159/000187250 [Crossref] [ Google Scholar]
- Nakamura K, Ienaga K, Nakano K, Nakai M, Nakamura Y, Hasegawa G. Creatol, a creatinine metabolite, as a useful determinant of renal function. Nephron 1994; 66(2):140-6. doi: 10.1159/000187791 [Crossref] [ Google Scholar]
- Gonella M, Barsotti G, Lupetti S, Giovannetti S. Factors affecting the metabolic production of methylguanidine. Clin Sci Mol Med 1975; 48(5):341-7. doi: 10.1042/cs0480341 [Crossref] [ Google Scholar]
- Nakamura K, Ienaga K. Creatol (5-hydroxycreatinine), a new toxin candidate in uremic patients. Experientia 1990; 46(5):470-2. doi: 10.1007/bf01954234 [Crossref] [ Google Scholar]
- Aoyagi K, Akiyama K, Kuzure Y, Takemura K, Nagase S, Ienaga K. Synthesis of creatol, a hydroxyl radical adduct of creatinine and its increase by puromycin aminonucleoside in isolated rat hepatocytes. Free Radic Res 1998; 29(3):221-6. doi: 10.1080/10715769800300251 [Crossref] [ Google Scholar]
- Yokozawa T, Chung HY, Dong E, Oura H. Confirmation that magnesium lithospermate B has a hydroxyl radical-scavenging action. Exp ToxicolPathol 1995; 47(5):341-4. doi: 10.1016/s0940-2993(11)80344-1 [Crossref] [ Google Scholar]
- Ienaga K, Nakamura K, Yamakawa M, Toyomaki Y, Matsuura H, Yokozawa T, et al. The use of 13C-labelling to prove that creatinine is oxidized by mammals into creatol and 5-hydroxy-1-methylhydantoin. J Chem Soc Chem Commun 1991(7):509-10. 10.1039/c39910000509.
- Ienaga K, Nakamura K, Naka F, Goto T. The metabolism of 1-methylhydantoin via 5-hydroxy-1-methylhydantoin in mammals. BiochimBiophys Acta 1988; 967(3):441-3. doi: 10.1016/0304-4165(88)90108-0 [Crossref] [ Google Scholar]
- Orita Y, Ando A, Tsubakihara Y, Mikami H, Kikuchi T, Nakata K. Tissue and blood cell concentration of methylguanidine in rats and patients with chronic renal failure. Nephron 1981; 27(1):35-9. doi: 10.1159/000182017 [Crossref] [ Google Scholar]
- Yokozawa T, Mo ZL, Oura H. Comparison of toxic effects of methylguanidine, guanidinosuccinic acid and creatinine in rats with adenine-induced chronic renal failure. Nephron 1989; 51(3):388-92. doi: 10.1159/000185328 [Crossref] [ Google Scholar]
- Burckhardt G, Wolff NA. Structure of renal organic anion and cation transporters. Am J Physiol Renal Physiol 2000; 278(6):F853-66. doi: 10.1152/ajprenal.2000.278.6.F853 [Crossref] [ Google Scholar]
- Eisner C, Faulhaber-Walter R, Wang Y, Leelahavanichkul A, Yuen PS, Mizel D. Major contribution of tubular secretion to creatinine clearance in mice. Kidney Int 2010; 77(6):519-26. doi: 10.1038/ki.2009.501 [Crossref] [ Google Scholar]
- Mathialagan S, Rodrigues AD, Feng B. Evaluation of renal transporter inhibition using creatinine as a substrate in vitro to assess the clinical risk of elevated serum creatinine. J Pharm Sci 2017; 106(9):2535-41. doi: 10.1016/j.xphs.2017.04.009 [Crossref] [ Google Scholar]
- Urakami Y, Kimura N, Okuda M, Inui K. Creatinine transport by basolateral organic cation transporter hOCT2 in the human kidney. Pharm Res 2004; 21(6):976-81. doi: 10.1023/b:pham.0000029286.45788.ad [Crossref] [ Google Scholar]
- Lepist EI, Zhang X, Hao J, Huang J, Kosaka A, Birkus G. Contribution of the organic anion transporter OAT2 to the renal active tubular secretion of creatinine and mechanism for serum creatinine elevations caused by cobicistat. Kidney Int 2014; 86(2):350-7. doi: 10.1038/ki.2014.66 [Crossref] [ Google Scholar]
- Imamura Y, Murayama N, Okudaira N, Kurihara A, Okazaki O, Izumi T. Prediction of fluoroquinolone-induced elevation in serum creatinine levels: a case of drug-endogenous substance interaction involving the inhibition of renal secretion. Clin PharmacolTher 2011; 89(1):81-8. doi: 10.1038/clpt.2010.232 [Crossref] [ Google Scholar]
- Ciarimboli G, Lancaster CS, Schlatter E, Franke RM, Sprowl JA, Pavenstädt H. Proximal tubular secretion of creatinine by organic cation transporter OCT2 in cancer patients. Clin Cancer Res 2012; 18(4):1101-8. doi: 10.1158/1078-0432.Ccr-11-2503 [Crossref] [ Google Scholar]
- Nishizawa K, Yoda N, Morokado F, Komori H, Nakanishi T, Tamai I. Changes of drug pharmacokinetics mediated by downregulation of kidney organic cation transporters MATE1 and OCT2 in a rat model of hyperuricemia. PLoS One 2019; 14(4):e0214862. doi: 10.1371/journal.pone.0214862 [Crossref] [ Google Scholar]
- Vallon V, Eraly SA, Rao SR, Gerasimova M, Rose M, Nagle M. A role for the organic anion transporter OAT3 in renal creatinine secretion in mice. Am J Physiol Renal Physiol 2012; 302(10):F1293-9. doi: 10.1152/ajprenal.00013.2012 [Crossref] [ Google Scholar]
- Shen H, Liu T, Morse BL, Zhao Y, Zhang Y, Qiu X. Characterization of organic anion transporter 2 (SLC22A7): a highly efficient transporter for creatinine and species-dependent renal tubular expression. Drug MetabDispos 2015; 43(7):984-93. doi: 10.1124/dmd.114.062364 [Crossref] [ Google Scholar]
- Cheng Y, Vapurcuyan A, Shahidullah M, Aleksunes LM, Pelis RM. Expression of organic anion transporter 2 in the human kidney and its potential role in the tubular secretion of guanine-containing antiviral drugs. Drug MetabDispos 2012; 40(3):617-24. doi: 10.1124/dmd.111.042036 [Crossref] [ Google Scholar]
- Tanihara Y, Masuda S, Sato T, Katsura T, Ogawa O, Inui K. Substrate specificity of MATE1 and MATE2-K, human multidrug and toxin extrusions/H( + )-organic cation antiporters. BiochemPharmacol 2007; 74(2):359-71. doi: 10.1016/j.bcp.2007.04.010 [Crossref] [ Google Scholar]
- Tsuda M, Terada T, Mizuno T, Katsura T, Shimakura J, Inui K. Targeted disruption of the multidrug and toxin extrusion 1 (MATE1) gene in mice reduces renal secretion of metformin. Mol Pharmacol 2009; 75(6):1280-6. doi: 10.1124/mol.109.056242 [Crossref] [ Google Scholar]
- Chesley LC. Renal excretion at low urine volumes and the mechanism of oliguria. J Clin Invest 1938; 17(5):591-7. doi: 10.1172/jci100984 [Crossref] [ Google Scholar]
- Ma Y, Zhang M, Yang J, Zhu L, Dai J, Wu X. Characterization of the renal tubular transport of creatinine by activity-based protein profiling and transport kinetics. Eur J Pharm Sci 2023; 180:106342. doi: 10.1016/j.ejps.2022.106342 [Crossref] [ Google Scholar]
- Casado JL, Monsalvo M, Vizcarra P, Fontecha M, Serrano-Villar S, Moreno S. Evaluation of kidney function in HIV-infected patients receiving an antiretroviral regimen containing one or two inhibitors of the tubular secretion of creatinine. HIV Med 2019; 20(10):648-56. doi: 10.1111/hiv.12784 [Crossref] [ Google Scholar]
- Chu X, Bleasby K, Chan GH, Nunes I, Evers R. The complexities of interpreting reversible elevated serum creatinine levels in drug development: does a correlation with inhibition of renal transporters exist?. Drug MetabDispos 2016; 44(9):1498-509. doi: 10.1124/dmd.115.067694 [Crossref] [ Google Scholar]
- Dutt MK, Moody P, Northfield TC. Effect of cimetidine on renal function in man. Br J Clin Pharmacol 1981; 12(1):47-50. doi: 10.1111/j.1365-2125.1981.tb01853.x [Crossref] [ Google Scholar]
- Hilbrands LB, Artz MA, Wetzels JF, Koene RA. Cimetidine improves the reliability of creatinine as a marker of glomerular filtration. Kidney Int 1991; 40(6):1171-6. doi: 10.1038/ki.1991.331 [Crossref] [ Google Scholar]
- Ishigami M, Sezai Y, Shimada Y, Maeda T, Yabuki S. Effects of famotidine, a new histamine H2-receptor antagonist, on renal function. Nihon Jinzo Gakkai Shi 1989; 31(6):687-91. [ Google Scholar]
- Sansoè G, Ferrari A, Castellana CN, Bonardi L, Villa E, Manenti F. Cimetidine administration and tubular creatinine secretion in patients with compensated cirrhosis. Clin Sci (Lond) 2002; 102(1):91-8. doi: 10.1042/cs1020091 [Crossref] [ Google Scholar]
- German P, Liu HC, Szwarcberg J, Hepner M, Andrews J, Kearney BP. Effect of cobicistat on glomerular filtration rate in subjects with normal and impaired renal function. J Acquir Immune DeficSyndr 2012; 61(1):32-40. doi: 10.1097/QAI.0b013e3182645648 [Crossref] [ Google Scholar]
- Koteff J, Borland J, Chen S, Song I, Peppercorn A, Koshiba T. A phase 1 study to evaluate the effect of dolutegravir on renal function via measurement of iohexol and para-aminohippurate clearance in healthy subjects. Br J Clin Pharmacol 2013; 75(4):990-6. doi: 10.1111/j.1365-2125.2012.04440.x [Crossref] [ Google Scholar]
- Weller S, Borland J, Chen S, Johnson M, Savina P, Wynne B. Pharmacokinetics of dolutegravir in HIV-seronegative subjects with severe renal impairment. Eur J Clin Pharmacol 2014; 70(1):29-35. doi: 10.1007/s00228-013-1590-9 [Crossref] [ Google Scholar]
- Tschuppert Y, Buclin T, Rothuizen LE, Decosterd LA, Galleyrand J, Gaud C. Effect of dronedarone on renal function in healthy subjects. Br J Clin Pharmacol 2007; 64(6):785-91. doi: 10.1111/j.1365-2125.2007.02998.x [Crossref] [ Google Scholar]
- Sarapa N, Wickremasingha P, Ge N, Weitzman R, Fuellhart M, Yen C. Lack of effect of DX-619, a novel des-fluoro(6)-quinolone, on glomerular filtration rate measured by serum clearance of cold iohexol. Antimicrob Agents Chemother 2007; 51(6):1912-7. doi: 10.1128/aac.01223-06 [Crossref] [ Google Scholar]
- Opravil M, Keusch G, Lüthy R. Pyrimethamine inhibits renal secretion of creatinine. Antimicrob Agents Chemother 1993; 37(5):1056-60. doi: 10.1128/aac.37.5.1056 [Crossref] [ Google Scholar]
- Kusuhara H, Ito S, Kumagai Y, Jiang M, Shiroshita T, Moriyama Y. Effects of a MATE protein inhibitor, pyrimethamine, on the renal elimination of metformin at oral microdose and at therapeutic dose in healthy subjects. Clin PharmacolTher 2011; 89(6):837-44. doi: 10.1038/clpt.2011.36 [Crossref] [ Google Scholar]
- Cohen CJ, Andrade-Villanueva J, Clotet B, Fourie J, Johnson MA, Ruxrungtham K. Rilpivirine versus efavirenz with two background nucleoside or nucleotide reverse transcriptase inhibitors in treatment-naive adults infected with HIV-1 (THRIVE): a phase 3, randomised, non-inferiority trial. Lancet 2011; 378(9787):229-37. doi: 10.1016/s0140-6736(11)60983-5 [Crossref] [ Google Scholar]
- Molina JM, Cahn P, Grinsztejn B, Lazzarin A, Mills A, Saag M. Rilpivirine versus efavirenz with tenofovir and emtricitabine in treatment-naive adults infected with HIV-1 (ECHO): a phase 3 randomised double-blind active-controlled trial. Lancet 2011; 378(9787):238-46. doi: 10.1016/s0140-6736(11)60936-7 [Crossref] [ Google Scholar]
- Kakuda TN, Leopold L, Nijs S, Vandevoorde A, Crauwels HM, Bertelsen KM. Pharmacokinetic interaction between etravirine or rilpivirine and telaprevir in healthy volunteers: a randomized, two-way crossover trial. J Clin Pharmacol 2014; 54(5):563-73. doi: 10.1002/jcph.245 [Crossref] [ Google Scholar]
- Zack J, Berg J, Juan A, Pannacciulli N, Allard M, Gottwald M. Pharmacokinetic drug-drug interaction study of ranolazine and metformin in subjects with type 2 diabetes mellitus. Clin Pharmacol Drug Dev 2015; 4(2):121-9. doi: 10.1002/cpdd.174 [Crossref] [ Google Scholar]
- Deray G, Bochet M, Katlama C, Bricaire F. [Nephrotoxicity of ritonavir]. Presse Med 1998;27(35):1801-3. [French].
- Burry HC, Dieppe PA. Apparent reduction of endogenous creatinine clearance by salicylate treatment. Br Med J 1976; 2(6026):16-7. doi: 10.1136/bmj.2.6026.16 [Crossref] [ Google Scholar]
- Matsui K, Kamijo-Ikemori A, Sugaya T, Ikeda H, Okuse C, Shibagaki Y. Does elevation of serum creatinine in patients with chronic hepatitis C under therapy of telaprevir mean renal impairment?. Nephrology (Carlton) 2015; 20(11):843-8. doi: 10.1111/nep.12517 [Crossref] [ Google Scholar]
- Suzuki F, Suzuki Y, Sezaki H, Akuta N, Seko Y, Kawamura Y. Exploratory study on telaprevir given every 8 h at 500 mg or 750 mg with peginterferon-alpha-2b and ribavirin in hepatitis C patients. Hepatol Res 2013; 43(7):691-701. doi: 10.1111/hepr.12009 [Crossref] [ Google Scholar]
- Nakada T, Kito T, Inoue K, Masuda S, Inui K, Matsubara K. Evaluation of the potency of telaprevir and its metabolites as inhibitors of renal organic cation transporters, a potential mechanism for the elevation of serum creatinine. Drug MetabPharmacokinet 2014; 29(3):266-71. doi: 10.2133/dmpk.dmpk-13-rg-118 [Crossref] [ Google Scholar]
- Naderer O, Nafziger AN, Bertino JS Jr. Effects of moderate-dose versus high-dose trimethoprim on serum creatinine and creatinine clearance and adverse reactions. Antimicrob Agents Chemother 1997; 41(11):2466-70. doi: 10.1128/aac.41.11.2466 [Crossref] [ Google Scholar]
- Kastrup J, Petersen P, Bartram R, Hansen JM. The effect of trimethoprim on serum creatinine. Br J Urol 1985; 57(3):265-8. doi: 10.1111/j.1464-410x.1985.tb06340.x [Crossref] [ Google Scholar]
- Myre SA, McCann J, First MR, Cluxton RJ Jr. Effect of trimethoprim on serum creatinine in healthy and chronic renal failure volunteers. Ther Drug Monit 1987; 9(2):161-5. doi: 10.1097/00007691-198706000-00006 [Crossref] [ Google Scholar]
- Nakada T, Kudo T, Kume T, Kusuhara H, Ito K. Quantitative analysis of elevation of serum creatinine via renal transporter inhibition by trimethoprim in healthy subjects using physiologically-based pharmacokinetic model. Drug MetabPharmacokinet 2018; 33(1):103-10. doi: 10.1016/j.dmpk.2017.11.314 [Crossref] [ Google Scholar]
- Pollak PT, Sharma AD, Carruthers SG. Creatinine elevation in patients receiving amiodarone correlates with serum amiodarone concentration. Br J Clin Pharmacol 1993; 36(2):125-7. doi: 10.1111/j.1365-2125.1993.tb04207.x [Crossref] [ Google Scholar]
- Martin P, Oliver S, Kennedy SJ, Partridge E, Hutchison M, Clarke D. Pharmacokinetics of vandetanib: three phase I studies in healthy subjects. Clin Ther 2012; 34(1):221-37. doi: 10.1016/j.clinthera.2011.11.011 [Crossref] [ Google Scholar]
- Zhang Y, Warren MS, Zhang X, Diamond S, Williams B, Punwani N. Impact on creatinine renal clearance by the interplay of multiple renal transporters: a case study with INCB039110. Drug MetabDispos 2015; 43(4):485-9. doi: 10.1124/dmd.114.060673 [Crossref] [ Google Scholar]
- Nakada T, Kudo T, Kume T, Kusuhara H, Ito K. Estimation of changes in serum creatinine and creatinine clearance caused by renal transporter inhibition in healthy subjects. Drug MetabPharmacokinet 2019; 34(4):233-8. doi: 10.1016/j.dmpk.2019.02.006 [Crossref] [ Google Scholar]
- Branten AJ, Vervoort G, Wetzels JF. Serum creatinine is a poor marker of GFR in nephrotic syndrome. Nephrol Dial Transplant 2005; 20(4):707-11. doi: 10.1093/ndt/gfh719 [Crossref] [ Google Scholar]
- Hirai K, Ihara S, Kinae A, Ikegaya K, Suzuki M, Hirano K. Augmented renal clearance in pediatric patients with febrile neutropenia associated with vancomycin clearance. Ther Drug Monit 2016; 38(3):393-7. doi: 10.1097/ftd.0000000000000270 [Crossref] [ Google Scholar]
- Udy AA, Roberts JA, Shorr AF, Boots RJ, Lipman J. Augmented renal clearance in septic and traumatized patients with normal plasma creatinine concentrations: identifying at-risk patients. Crit Care 2013; 17(1):R35. doi: 10.1186/cc12544 [Crossref] [ Google Scholar]
- Udy AA, Jarrett P, Lassig-Smith M, Stuart J, Starr T, Dunlop R. Augmented renal clearance in traumatic brain injury: a single-center observational study of atrial natriuretic peptide, cardiac output, and creatinine clearance. J Neurotrauma 2017; 34(1):137-44. doi: 10.1089/neu.2015.4328 [Crossref] [ Google Scholar]
- Helal I, Fick-Brosnahan GM, Reed-Gitomer B, Schrier RW. Glomerular hyperfiltration: definitions, mechanisms and clinical implications. Nat Rev Nephrol 2012; 8(5):293-300. doi: 10.1038/nrneph.2012.19 [Crossref] [ Google Scholar]
- Udy AA, Roberts JA, Boots RJ, Paterson DL, Lipman J. Augmented renal clearance: implications for antibacterial dosing in the critically ill. Clin Pharmacokinet 2010; 49(1):1-16. doi: 10.2165/11318140-000000000-00000 [Crossref] [ Google Scholar]
- Kyle UG, Genton L, Hans D, Karsegard L, Slosman DO, Pichard C. Age-related differences in fat-free mass, skeletal muscle, body cell mass and fat mass between 18 and 94 years. Eur J Clin Nutr 2001; 55(8):663-72. doi: 10.1038/sj.ejcn.1601198 [Crossref] [ Google Scholar]
- Hoagland CL, Gilder H, Shank RE. The synthesis, storage, and excretion of creatine, creatinine, and glycocyamine in progressive muscular dystrophy and the effects of certain hormones on these processes. J Exp Med 1945; 81(5):423-38. doi: 10.1084/jem.81.5.423 [Crossref] [ Google Scholar]
- Horber FF, Scheidegger J, Frey FJ. Overestimation of renal function in glucocorticosteroid treated patients. Eur J Clin Pharmacol 1985; 28(5):537-41. doi: 10.1007/bf00544064 [Crossref] [ Google Scholar]
- Doi K, Yuen PS, Eisner C, Hu X, Leelahavanichkul A, Schnermann J. Reduced production of creatinine limits its use as marker of kidney injury in sepsis. J Am Soc Nephrol 2009; 20(6):1217-21. doi: 10.1681/asn.2008060617 [Crossref] [ Google Scholar]
- Whedon GD, Shorr E. Metabolic studies in paralytic acute anterior poliomyelitis I Alterations in nitrogen and creatine metabolism. J Clin Invest 1957; 36(6 Part 2):941-65. doi: 10.1172/jci103495 [Crossref] [ Google Scholar]
- Bleiler RE, Schedl HP. Creatinine excretion: variability and relationships to diet and body size. J Lab Clin Med 1962; 59:945-55. [ Google Scholar]
- Crim MC, Calloway DH, Margen S. Creatine metabolism in men: urinary creatine and creatinine excretions with creatine feeding. J Nutr 1975; 105(4):428-38. doi: 10.1093/jn/105.4.428 [Crossref] [ Google Scholar]
- Nair S, O’Brien SV, Hayden K, Pandya B, Lisboa PJ, Hardy KJ. Effect of a cooked meat meal on serum creatinine and estimated glomerular filtration rate in diabetes-related kidney disease. Diabetes Care 2014; 37(2):483-7. doi: 10.2337/dc13-1770 [Crossref] [ Google Scholar]
- Mayersohn M, Conrad KA, Achari R. The influence of a cooked meat meal on creatinine plasma concentration and creatinine clearance. Br J Clin Pharmacol 1983; 15(2):227-30. doi: 10.1111/j.1365-2125.1983.tb01490.x [Crossref] [ Google Scholar]
- Fitch CD, Sinton DW. A study of creatine metabolism in diseases causing muscle wasting. J Clin Invest 1964; 43(3):444-52. doi: 10.1172/jci104929 [Crossref] [ Google Scholar]
- Shannon JA. The renal excretion of creatinine in man. J Clin Invest 1935; 14(4):403-10. doi: 10.1172/jci100691 [Crossref] [ Google Scholar]
- Bauer JH, Brooks CS, Burch RN. Clinical appraisal of creatinine clearance as a measurement of glomerular filtration rate. Am J Kidney Dis 1982; 2(3):337-46. doi: 10.1016/s0272-6386(82)80091-7 [Crossref] [ Google Scholar]
- Dunn SR, Gabuzda GM, Superdock KR, Kolecki RS, Schaedler RW, Simenhoff ML. Induction of creatininase activity in chronic renal failure: timing of creatinine degradation and effect of antibiotics. Am J Kidney Dis 1997; 29(1):72-7. doi: 10.1016/s0272-6386(97)90010-x [Crossref] [ Google Scholar]
- Davies DF, Shock NW. Age changes in glomerular filtration rate, effective renal plasma flow, and tubular excretory capacity in adult males. J Clin Invest 1950; 29(5):496-507. doi: 10.1172/jci102286 [Crossref] [ Google Scholar]
- Musso CG, Oreopoulos DG. Aging and physiological changes of the kidneys including changes in glomerular filtration rate. Nephron Physiol 2011; 119 Suppl 1:p1-5. doi: 10.1159/000328010 [Crossref] [ Google Scholar]
- Cockcroft DW, Gault MH. Prediction of creatinine clearance from serum creatinine. Nephron 1976; 16(1):31-41. doi: 10.1159/000180580 [Crossref] [ Google Scholar]
- Cheung KL, Lafayette RA. Renal physiology of pregnancy. Adv Chronic Kidney Dis 2013; 20(3):209-14. doi: 10.1053/j.ackd.2013.01.012 [Crossref] [ Google Scholar]
- Sims EA, Krantz KE. Serial studies of renal function during pregnancy and the puerperium in normal women. J Clin Invest 1958; 37(12):1764-74. doi: 10.1172/jci103769 [Crossref] [ Google Scholar]
- Moran SM, Myers BD. Course of acute renal failure studied by a model of creatinine kinetics. Kidney Int 1985; 27(6):928-37. doi: 10.1038/ki.1985.101 [Crossref] [ Google Scholar]
- Dabla PK. Renal function in diabetic nephropathy. World J Diabetes 2010; 1(2):48-56. doi: 10.4239/wjd.v1.i2.48 [Crossref] [ Google Scholar]
- Christiansen JS, Gammelgaard J, Frandsen M, Parving HH. Increased kidney size, glomerular filtration rate and renal plasma flow in short-term insulin-dependent diabetics. Diabetologia 1981; 20(4):451-6. doi: 10.1007/bf00253406 [Crossref] [ Google Scholar]
- Nelson RG, Bennett PH, Beck GJ, Tan M, Knowler WC, Mitch WE. Development and progression of renal disease in Pima Indians with non-insulin-dependent diabetes mellitus Diabetic Renal Disease Study Group. N Engl J Med 1996; 335(22):1636-42. doi: 10.1056/nejm199611283352203 [Crossref] [ Google Scholar]
- Mogensen CE. Glomerular filtration rate and renal plasma flow in short-term and long-term juvenile diabetes mellitus. Scand J Clin Lab Invest 1971; 28(1):91-100. doi: 10.3109/00365517109090667 [Crossref] [ Google Scholar]
- McCance RA, Widdowson EM. Functional disorganization of the kidney in disease. J Physiol 1939; 95(1):36-44. doi: 10.1113/jphysiol.1939.sp003709 [Crossref] [ Google Scholar]
- Viberti GC, Bilous RW, Mackintosh D, Keen H. Monitoring glomerular function in diabetic nephropathy A prospective study. Am J Med 1983; 74(2):256-64. doi: 10.1016/0002-9343(83)90624-1 [Crossref] [ Google Scholar]
- Levey AS, Bosch JP, Lewis JB, Greene T, Rogers N, Roth D. A more accurate method to estimate glomerular filtration rate from serum creatinine: a new prediction equation Modification of Diet in Renal Disease Study Group. Ann Intern Med 1999; 130(6):461-70. doi: 10.7326/0003-4819-130-6-199903160-00002 [Crossref] [ Google Scholar]
- Levey AS, Coresh J, Greene T, Marsh J, Stevens LA, Kusek JW. Expressing the Modification of Diet in Renal Disease Study equation for estimating glomerular filtration rate with standardized serum creatinine values. Clin Chem 2007; 53(4):766-72. doi: 10.1373/clinchem.2006.077180 [Crossref] [ Google Scholar]
- Lempert KD. Probiotics and CKD progression: are creatinine-based estimates of GFR applicable?. Am J Kidney Dis 2019; 74(4):429-31. doi: 10.1053/j.ajkd.2019.02.003 [Crossref] [ Google Scholar]
- Porrini E, Ruggenenti P, Luis-Lima S, Carrara F, Jiménez A, de Vries AP. Estimated GFR: time for a critical appraisal. Nat Rev Nephrol 2019; 15(3):177-90. doi: 10.1038/s41581-018-0080-9 [Crossref] [ Google Scholar]
- Dalton RN. Serum creatinine and glomerular filtration rate: perception and reality. Clin Chem 2010; 56(5):687-9. doi: 10.1373/clinchem.2010.144261 [Crossref] [ Google Scholar]
- Delanaye P, Cavalier E, Pottel H. Serum creatinine: not so simple!. Nephron 2017; 136(4):302-8. doi: 10.1159/000469669 [Crossref] [ Google Scholar]
- Sandilands EA, Dhaun N, Dear JW, Webb DJ. Measurement of renal function in patients with chronic kidney disease. Br J Clin Pharmacol 2013; 76(4):504-15. doi: 10.1111/bcp.12198 [Crossref] [ Google Scholar]
- Molitoris BA. Rethinking CKD evaluation: should we be quantifying basal or stimulated GFR to maximize precision and sensitivity?. Am J Kidney Dis 2017; 69(5):675-83. doi: 10.1053/j.ajkd.2016.11.028 [Crossref] [ Google Scholar]
- Teo SH, Endre ZH. Biomarkers in acute kidney injury (AKI). Best Pract Res Clin Anaesthesiol 2017; 31(3):331-44. doi: 10.1016/j.bpa.2017.10.003 [Crossref] [ Google Scholar]
- Chapron A, Shen DD, Kestenbaum BR, Robinson-Cohen C, Himmelfarb J, Yeung CK. Does secretory clearance follow glomerular filtration rate in chronic kidney diseases? Reconsidering the intact nephron hypothesis. Clin Transl Sci 2017; 10(5):395-403. doi: 10.1111/cts.12481 [Crossref] [ Google Scholar]
- Kwon YE, Lee MJ, Park KS, Han SH, Yoo TH, Oh KH. Cystatin C is better than serum creatinine for estimating glomerular filtration rate to detect osteopenia in chronic kidney disease patients. Yonsei Med J 2017; 58(2):380-7. doi: 10.3349/ymj.2017.58.2.380 [Crossref] [ Google Scholar]
- Opotowsky AR, Carazo M, Singh MN, Dimopoulos K, Cardona-Estrada DA, Elantably A. Creatinine versus cystatin C to estimate glomerular filtration rate in adults with congenital heart disease: results of the Boston Adult Congenital Heart Disease Biobank. Am Heart J 2019; 214:142-55. doi: 10.1016/j.ahj.2019.04.018 [Crossref] [ Google Scholar]
- Filler G, Lee M. Educational review: measurement of GFR in special populations. Pediatr Nephrol 2018; 33(11):2037-46. doi: 10.1007/s00467-017-3852-8 [Crossref] [ Google Scholar]
- Brown CS, Kashani KB, Clain JM, Frazee EN. Cystatin C falsely underestimated GFR in a critically ill patient with a new diagnosis of AIDS. Case Rep Nephrol 2016; 2016:9349280. doi: 10.1155/2016/9349280 [Crossref] [ Google Scholar]
- Inker LA, Schmid CH, Tighiouart H, Eckfeldt JH, Feldman HI, Greene T. Estimating glomerular filtration rate from serum creatinine and cystatin C. N Engl J Med 2012; 367(1):20-9. doi: 10.1056/NEJMoa1114248 [Crossref] [ Google Scholar]
- Grubb AO. Cystatin C--properties and use as diagnostic marker. Adv Clin Chem 2000; 35:63-99. doi: 10.1016/s0065-2423(01)35015-1 [Crossref] [ Google Scholar]
- Sjöström P, Tidman M, Jones I. Determination of the production rate and non-renal clearance of cystatin C and estimation of the glomerular filtration rate from the serum concentration of cystatin C in humans. Scand J Clin Lab Invest 2005; 65(2):111-24. doi: 10.1080/00365510510013523 [Crossref] [ Google Scholar]
- Liu BC, Tang TT, Lv LL, Lan HY. Renal tubule injury: a driving force toward chronic kidney disease. Kidney Int 2018; 93(3):568-79. doi: 10.1016/j.kint.2017.09.033 [Crossref] [ Google Scholar]
- Ito S, Kusuhara H, Kumagai Y, Moriyama Y, Inoue K, Kondo T. N-methylnicotinamide is an endogenous probe for evaluation of drug-drug interactions involving multidrug and toxin extrusions (MATE1 and MATE2-K). Clin PharmacolTher 2012; 92(5):635-41. doi: 10.1038/clpt.2012.138 [Crossref] [ Google Scholar]
- Kato K, Mori H, Kito T, Yokochi M, Ito S, Inoue K. Investigation of endogenous compounds for assessing the drug interactions in the urinary excretion involving multidrug and toxin extrusion proteins. Pharm Res 2014; 31(1):136-47. doi: 10.1007/s11095-013-1144-y [Crossref] [ Google Scholar]
- Müller F, Pontones CA, Renner B, Mieth M, Hoier E, Auge D. N(1)-methylnicotinamide as an endogenous probe for drug interactions by renal cation transporters: studies on the metformin-trimethoprim interaction. Eur J Clin Pharmacol 2015; 71(1):85-94. doi: 10.1007/s00228-014-1770-2 [Crossref] [ Google Scholar]
- Tsuruya Y, Kato K, Sano Y, Imamura Y, Maeda K, Kumagai Y. Investigation of endogenous compounds applicable to drug–drug interaction studies involving the renal organic anion transporters, OAT1 and OAT3, in humans. Drug MetabDispos 2016; 44(12):1925-33. doi: 10.1124/dmd.116.071472 [Crossref] [ Google Scholar]
- Chu X, Chan GH, Evers R. Identification of endogenous biomarkers to predict the propensity of drug candidates to cause hepatic or renal transporter-mediated drug-drug interactions. J Pharm Sci 2017; 106(9):2357-67. doi: 10.1016/j.xphs.2017.04.007 [Crossref] [ Google Scholar]
- Imamura Y, Tsuruya Y, Damme K, Heer D, Kumagai Y, Maeda K. 6β-hydroxycortisol is an endogenous probe for evaluation of drug-drug interactions involving a multispecific renal organic anion transporter, OAT3/SLC22A8, in healthy subjects. Drug MetabDispos 2014; 42(4):685-94. doi: 10.1124/dmd.113.055475 [Crossref] [ Google Scholar]
- George JA, Gounden V. Novel glomerular filtration markers. Adv Clin Chem 2019; 88:91-119. doi: 10.1016/bs.acc.2018.10.005 [Crossref] [ Google Scholar]